基于半主动卷积神经网络的高光谱图像分类
原文:《Semi-Active Convolutional Neural Networks for Hyperspectral Image Classification》
本文思路
- HS图像容易出现昂贵且耗时的标签标注问题,同时在分类过程中有大量的未标记数据。如何在调查场景中选择样本,无论是标记还是未标记的,并充分利用它们来扩大深度分类器的能力正在变得更具不可忽略的。
- 通过根据当前模型的不确定性测量标准主动采样信息像素,包含AL的先进HSI分类算法总是能够减轻对足够标记的需求,并获得比经典分类算法更好的性能。
- AL和SSL在HSI分类的背景下整合这两种互补技术并取得了良好的性能,但是一方面,它们对深度分类器的相互影响仍然缺少研究。另一方面,现有的大多数方法都依赖于复杂的特征提取和选择标准设计,这可能会限制它们在更广泛的情况下的实用性和可扩展性。
- 因此,在本文中,我们提出了一个统一的 SSAL 框架,通过以半主动的方式学习 CNN。
本文贡献
- 设计了一种新的半主动HSI分类框架工作,通过学习半监督CNNSA-CNN,简称SA-CNN,通过迭代的方式主动选择标记数据和未标记数据,允许CNN在有限的标记数据下学习更具区分性的特征。
- 展示了三种直观但有效的AL调度,通过逐步添加主动选择的训练样本,可以很好地拟合网络训练,进一步使训练后的深度分类器具有更强的数据自适应能力。
本文方法
方法总览
为了进一步消除深度模型对大量标记训练样本的强烈依赖,我们提出了半主动学习框架,即同时主动选择标记和未标记数据,从而可以利用更多的全局数据结构信息 相互关联的监督和伪监督允许以渐进的方式相互促进,如图 2 中的工作流程所示。 此外,我们将提出的 SA-CNN 与针对训练集和测试集之间的数据分布差异而设计的三个 AL 计划相结合,从而使我们的方法能够更好地泛化处理各种 HSI 数据集。 上图框架:我们的网络通过同时利用监督和伪监督信息以渐进的方式进行训练。 在每次迭代中,我们首先主动选择那些基于 SLIC 产生高标签一致性的样本,如绿色标记的超像素,及其伪标签来构建可靠的伪标签集。 然后,我们根据三个建议的Schedule对其余样本进行 AL 过程,这些样本在红色超像素中构成高度不一致的语义。 通过这种方式,我们的框架有望充分利用未标记部分的知识,进一步提高 AL 的效率和有效性,实现半 AL。
超像素分割
代表性的超像素分割算法包括 SLIC [55] 和包含可微分 SLIC
的超像素采样网络 [56]。
与以前关注超像素在提供有效特征表示方面的潜力的方法不同,我们注意到,如图
1 所示,超像素内的高标签一致性可用于实现所提出的半主动学习策略。
值得注意的是,这种具有不同参数的过分割在标签一致性方面表现出相对一致的趋势,并且没有明显的额外计算负担。

提出的SA-CNNs
令
在每次迭代中,用于网络训练的分类交叉熵损失定义为:
其中,
其中
其中 
AL Schedule
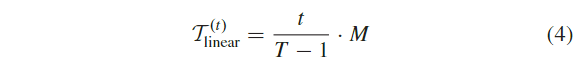
鉴于只有有限的标记样本被初始化,它们扩展的特征子空间对于 CNN
来说可能太脆弱,无法学习可靠的数据表示,从而在早期阶段降低以下生成伪标签。一般来说,我们建议更新通常采用的线性计划,以逐渐释放的方式主动选择标记样本,而不是一次性提取它们。具体地,给定预算
其中T表示最大迭代次数。请注意,与以下两个Schedule相比,此Schedule是一个无偏选项。
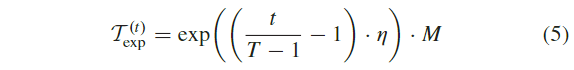
然而,在实际场景中,用户可能会面临初始训练集和测试集之间的数据分布差异。例如,如果初始采样的数据在整个特征空间中均匀分布,则可以得出一个直观的结论,即当前的
CNN
容易学习稳健的特征表示,从而能够判断分类器可能在接下来的迭代中最需要哪些样本。从理论上讲,我们可以尽可能小心地为
CNN 提供新标记的样本——在极端情况下,每次迭代一个样本——以充分发挥 AL
的潜力,这也需要对网络进行无休止的训练。为了在性能增益和不可承受的计算成本之间进行权衡,我们考虑根据
exp-schedule 添加样本,如下所示:
其中
通过整合建议的AL Schedule,我们的 SA-CNN
的整个过程可以总结在算法 1 中。